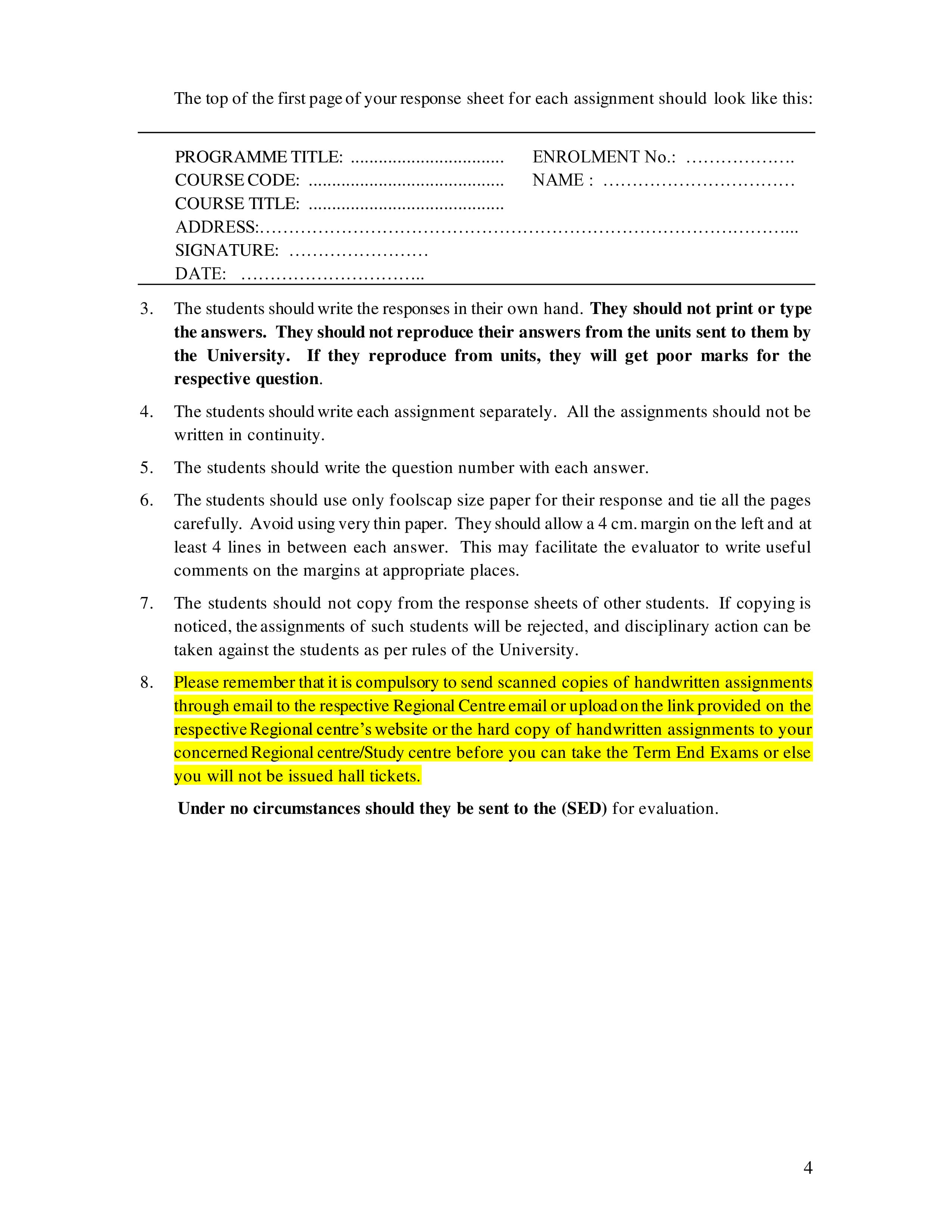
HomeHandwritten Hardcopy (Delivery)IGNOU MSEL 032 Handwritten Hardcopy Assignment 2026-26 (English Medium)

Official Format
Hardcopy Delivery • WhatsApp Recommended
Website order is available, but WhatsApp gives fastest confirmation and delivery support.
Fast Dispatch • Safe Packing • All India Delivery
We pack carefully and ship fast. You’ll receive genuine handwritten hardcopy delivered to your address. For quickest confirmation and tracking support, prefer WhatsApp.
Verified Packing Delivery Support Trusted Service
Handwritten Hardcopy (Delivery) Delivery Verified
IGNOU MSEL 032 Handwritten Hardcopy Assignment 2026-26 (English Medium)
₹360₹400
Trusted by students
1
Safe Packing All India Delivery WhatsApp Priority Secure Checkout
Buy IGNOU MSEL 032 handwritten hardcopy assignment for session 2026-26 in English medium. This is a physical handwritten delivery product.
Product Details
Subject CodeMSEL 032
Subject Title (English)Cyber Attacks, Cloud Security, Data Analytics and Recovery Lab
Course CodeMSCIS
Course TitleMaster of Science(Information Security)
MediumEnglish
Session2026-26
Hardcopy category: pages are not shown here.
Hardcopy delivery: You can increase quantity as needed.
Important Note
This product is a handwritten physical hardcopy delivery version of the related solved assignment. PDF is not included with this product. Please verify subject code, medium, session, and course before placing the order.
Delivery Note
Dispatch & delivery time may vary by location. For quickest confirmation and delivery support, use WhatsApp.
Description
This product is the handwritten hardcopy delivery version of the solved assignment for subject MSEL 032 (Cyber Attacks, Cloud Security, Data Analytics and Recovery Lab). It is mapped to course MSCIS (Master of Science(Information Security)), prepared for session 2026-26, and available in English medium. This is a physical handwritten product, not a downloadable PDF.
Students Reviews
Add Rating & ReviewYour feedback helps other students
Students who purchased this product can submit rating & review.
Related Products
View all →No related products found.
1